MAT 6221

Bas de la page

prof. Louis Charbonneau
UQAM

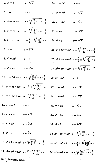
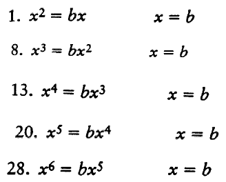
La Renaissance

L'algèbre

Les 36 règles de Me Benedetto de Florence
1463
(réécrites dans notre notation moderne)

Paul Benoit, Calcul, algèbre et marchandise, in Michel Serres, Éléments d'histoire des sciences, Paris : Bordas, 1989, p. 213.

 

Extrait : x = b

 

Ce bouton ne fonctionne qu'avec Netscape

 

Haut de la page