Pauses mathématiques
Faits surprenants
Accueil
Anecdotes historiques
Énigmes
Faits surprenants
Images intéressantes
Paradoxes (à venir)
Incohérences (à venir)
Derniers ajouts
Jennifer aime:
Les fractales
.
Karine aime:
Carré manquant
.
Recherche
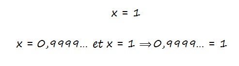
Vrai ou
faux?
Par
Karine Cossette