Les coniques
Accueil
Sections coniques
         
Lieux géométriques
         
Courbes algébriques
         
Autres représentations
Liens

Passage des lieux géométriques aux courbes algébriques


À partir de leur définition en tant que lieu géométrique (ce qui relève de la géométrie synthétique), on peut décrire les coniques en fonction des coordonnées des points sur la courbe (ce qui relève de la géométrie analytique). Pour obtenir des relations algébriques simples, on devra choisir un système d’axes approprié.

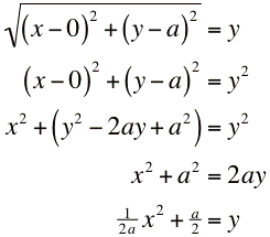
Condidérons tout d’abord la parabole et choisissons un système d’axes de sorte que la directrice corresponde à l'axe des x et que le foyer soit situé sur l'axe des y positifs.



Si les coordonnées du foyer F sont (0,a) et si P=(x, y) est un point de la parabole, on aura (en raison de la propriété caractéristique de ce lieu géométrique)
distance (P, F) = distance (P, axe des x),
ce qui se traduit par la suite d’égalités suivante :

ce qui nous donne une relation de la forme


Sachant cela, on peut simplifier davantage en utilisant unautre système d’axes (u, v) défini comme suit : u = x et  v = y - a/2  (ce qui revient à faire passer l’axe des x à mi-chemin entre le foyer et la directrice). On obtient alors les égalités

ce qui nous donne une relation de la forme


Par un calcul semblable (disponible en cliquant ici), on peut trouver les relations algébriques décrivant les ellipses et les hyperboles.


Appendice technologique

Les formules ont été créées avec l'éditeur d'équations de Microsoft Word. À l'aide d'un clic-droit (ou d'un contrôle-clic sur les Macintosh ne disposant pas d'une souris à deux boutons), on les a ensuite enregistrées en tant qu'images (au format GIF), pour enfin les insérer dans la page web.

Le fichier PDF (auquel on peut accéder par le lien "disponible en cliquant ici") est un format multi plates-formes qui permet l'affichage de documents dont on veut préserver la mise en forme. Dans notre cas, le texte a d'abord été composé dans Microsoft Word, puis il a été "imprimé" au format PDF (une option déjà intégrée dans Mac OS X, et disponible via Cute PDF Printer sur Windows).