Voici une boule rayon 1 unité.

boulerayon1

Nous ne connaissons pas son volume. Notons-le V



    Effectuons une dilatation de facteur r sur ses dimensions. 



Nous obtenons une boule de rayon 1*r unités, donc de rayon r unités.

boulerayonr

Le volume de la boule change d'un facteur r3, car nous sommes en trois dimensions.

Nous obtenons une boule de volume V * r3 unités cubes.


    Remarquons que le volume de la boule de rayon 1 que nous avons noté Vest une constante. Par conséquent, si nous connaissions cette constante, nous pourrions généraliser en raisonnant par dilatation de facteur r pour connaître le volume de n'importe quelle boule de rayon r. Partons donc, plus particulièrement à la découverte du volume d'une boule de rayon 1 qui est notre constante V


    Dans le but de simplifier notre tâche, partionnons cette boule en deux demies boules de même volume. Voici un film illustrant cette subdivision:


  


Nous obtenons deux demies boules de rayon 1.


    Déterminons le volume d'une seule de ces deux  demies boules. Le volume d'une boule entière de rayon 1 nous sera donné en multipliant par 2 le volume de la demie boule trouvé. Nous ne savons pas plus trouver le volume d'une demie boule, mais nous pouvons toutefois y parvenir en se ramenant à des solides que nous connaissons. Un des solides dont nous savons déterminer le volume qui pourra nous être utile est le cylindre. 

demieboule

    Pour ce faire, nous pouvons partionner notre demie boule de rayon 1 en n cylindres différents. Voici un exemple avec  n = 6, donc avec 6 cylindres. 

cylindre6

    Bien sûr, plus n est grand,  plus la somme des volumes des cylindres ainsi construits s'approchera du volume de la demie boule. Plus particulièrement, pour un n infiniment grand, nous aurons que la somme des volumes des cylindres sera égale au volume de la demie boule puisque  les cylindres occuperont tout l'espace disponible à l'intérieur de la demie boule. Le film qui suit illustre la situation:



Par construction, les cylindres ont tous la même hauteur, soit 1/n .

Cependant, les cylindres n'ont pas tous le même rayon. 

cylindre6

    Par contre, sachant le théorème de la relation de Pythagore applicable dans tout triangle rectangle, nous sommes en mesure de déterminer les valeurs respectives de chacun de ces rayons.

Déterminons le carré du rayon du premier cylindre (en partant du bas) de cette façon. 

rayon1           cylindre6rayon1

Déterminons le carré du rayon du deuxième cylindre. 


rayon2         cylindre6rayon2

Déterminons le carré du rayon de l'avant dernier cylindre.


rayon n-1cylindre6rayonnmoins1


Déterminons le carré du rayon du dernier cylindre.


rayon n        cylindre6rayonn


Bref, il est possible de déterminer la mesure des rayons des bases de chacun de ces ncylindres. Par conséquent, connaissant la formule du volume d'un cylindre, nous sommes en mesure de calculer le volume respectif de chacun de ces n cylindres. 




volumerespectifcylindres

    Rappelons-nous que pour un n infiniment grand, nous aurons que la somme des volumes des n cylindres sera égale au volume de la demie boule. Trouvons le volume de la demie boule de rayon 1 de cette façon. Nous avons: 


       

somme0

somme1

Effectuons une mise en évidence simple du facteur Pi et du facteur 1/n. Nous obtenons: 

somme2

Remplaçons le carré des rayons de chacun des n cylindres par leur valeur respective. Nous obtenons: 

somme3a    somme3bsomme4a    somme4b



somme5

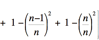
    Remarquons qu'à l'intérieur des crochets, pour chaque terme de la somme des volumes des cylindres, nous avons plus 1 moins une expression, plus 1 moins une autre expression et ainsi de suite. 

    somme6


    Nous avons une addition répétée de 1 n fois. Remplaçons cette somme de 1 par son résultat qui est n. De plus, effectuons une mise en évidence simple du facteur -1.

Alors, simplifions notre expression davantage. Nous obtenons:

somme8

Distribuons notre facteur Pi/n sur la différence obtenue. Nous obtenons:

somme9

Simplifions. Nous obtenons:

somme10

Distribuons notre facteur 1/n sur la somme. Nous obtenons:

somme11

    Maintenant, nous devons réfléchir sur ce que vaut l'expression ci-dessous en se ramenant à des notions que nous connaissons. 

 somme12

    Pour commencer, considérons le premier terme de cette somme. Cette expression représente le volume d'un prisme dont la base est un carré de côté 1/n et la hauteur est 1/n .

            terme1             



Considérons le deuxième terme de cette somme. Cette expression représente le volume d'un prisme dont la base est un carré de côté 2/n et la hauteur est 1/n .

            terme2                          

Déterminons ce que représente l'avant dernier terme de cette somme. Cette expression représente le volume d'un prisme dont la base est un carré de côté (n-1)/net la hauteur est 1/n .

            terme3                    

Déterminons ce que représente le dernier terme de cette somme. Cette expression représente le volume d'un prisme dont la base est un carré de côté n/n et la hauteur est 1/n .

           terme4                               

    Par conséquent, l'expression mentionnée précédemment correspond à la somme des volumes des n prismes à base carrée différents.

Ces prismes ont tous la même hauteur, soit 1/n

Par contre, ces prismes n'ont pas tous la même aire de base: 

Le premier c'est (1/n)fois(1/n),

le deuxième c'est (2/n)fois(2/n) 


                 ... 

Et le dernier c'est (n/n)fois(n/n).

    Bref, l'aire de la base d'un prisme au suivant augmente tranquillement jusqu'à ce que nous considérons l'aire de la base du dernier qui vaut un unité carré. Voici une illustration de cette expression correspondant à la somme des volumes de ces  n prismes. Cela ressemble à un escalier.

escalier6prismes

    Remarquons que plus n est grand, plus la représentation de cette somme aura l'allure d'une pyramide. Plus particulièrement, pour un n infiniment grand, nous avons que le volume de cet escalier sera égale au volume d'une pyramide dont l'aire de la base est (n/n)fois(n/n) donc d'un unité carré et la hauteur est n fois (1/n) donc d'un unité. Voici un film illustrant la situation:

Sachant la formule du volume de la pyramide, nous sommes en mesure de trouver la valeur de la somme des volumes des n prismes. Soit le tiers d'un unité cube.

pyramide dans cube de côté 1 unité

Par conséquent, la valeur cherchée de l'expression somme12          est       1/3  .

Remplaçons cette expression par sa valeur dans notre expression représentant le volume de la demie boule de rayon 1. Nous obtenons: 

somme11

somme13

Simplifions. Nous obtenons:

somme14

somme15

somme16


    Rappelons-nous que le volume d'une boule entière de rayon 1 vaut le double du volume d'une demie boule de même rayon. Nous obtenons:

  

 somme17a somme17b

    Nous connaissons maintenant notre consatnte V , soit le volume d'une boule de rayon 1.  Finalement, puisque le volume d'une boule de rayon r est donnée par V fois r3 en raisonnant par dilatation d'un facteur r. Nous obtenons: 

Formule

Vous avez des commentaires et/ou des suggestions. S'il-vous-plait, écrivez-moi à l'adresse suivante: blanchette.mireille@courrier.uqam.ca