p5Visuel: quand Scratch ne suffit plus
p5Visuel (novembre 2020)
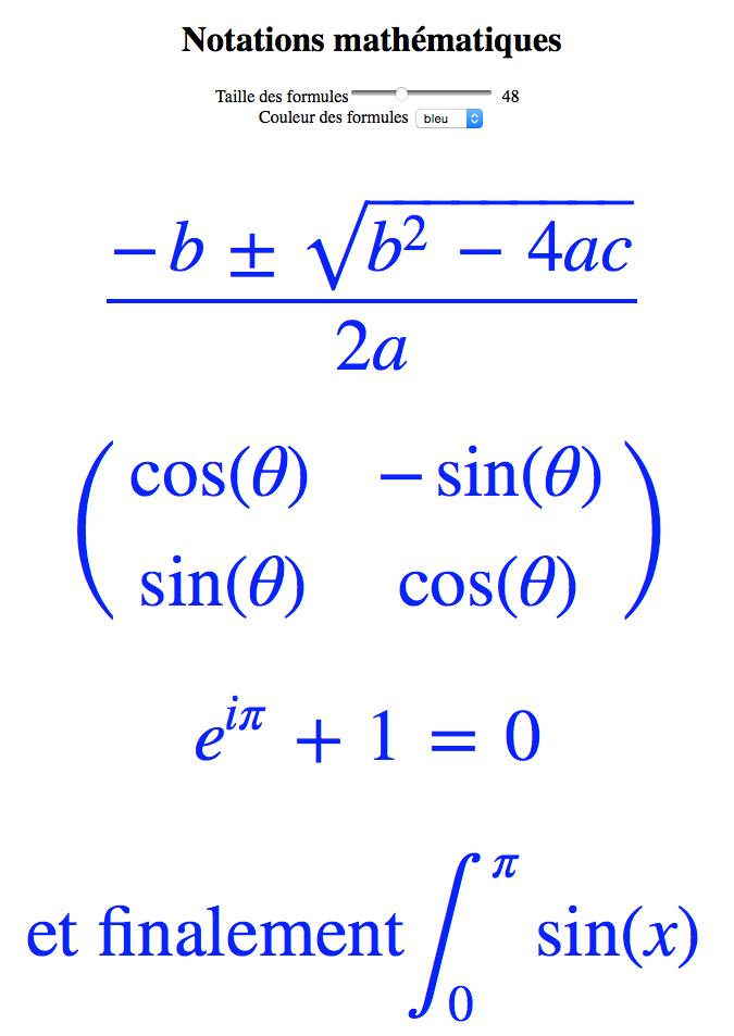
J'animerai un atelier à la rencontre virtuelle du Groupe des Responsables en Mathématiques au Secondaire, intitulé
p5Visuel : quand Scratch ne suffit pas.
Loin de chercher à discréditer Scratch (qui a de belles qualités), cet atelier vise à indiquer aux professeurs de mathématiques certaines possibilités techniques et pédagogiques présentes dans p5Visuel mais absentes dans Scratch.
Vous pouvez accéder aux ressources utilisées lors de cet atelier en cliquant sur l'image ci-dessus.
Dernières Nouvelles
- Prix Adrien Pouliot 2024
- Prix matériel numérique 2024
- Les livres WEB
- Astrolabe (L. Charbonneau)
- Participation au GRMS
Nouvelles de 2022
- Gestion des blocs essentiels
- Gestion des blocs orphelins
- Nouvelle tortue pas à pas
- Participation AMQ et GRMS
- Jeux et simulations p5Visuel
- Interface YouTube - p5Visuel
- Journée des maths 2022
- SAGE dans p5Visuel
- Grands entiers dans p5Visuel
- Formation p5Visuel UQAM
Nouvelles de 2021
- Nouveau site web p5Visuel
- Participation AMQ et GRMS
- Activités avec p5Visuel
- LiveCode : triste nouvelle
- Configuration de p5Visuel
- Coup d'oeil sur p5Visuel
- Serveur web pour p5Visuel
- p5Visuel et enseignement
- Calcul de π avec p5Visuel
- Jour de π avec p5Visuel
- Faire connaître p5Visuel
- Formations p5Visuel UQAM
Nouvelles de 2020
- Créer des cadres GeoGebra
- Quand Scratch ne suffit plus
- Nouvelle interface p5Visuel
- p5Visuel et les maths
- Tableaux avec format
- p5Visuel en mode local
- p5Visuel pour débutants
- Programmer avec p5Visuel
- Version légère de p5Visuel
- Atelier UQAM sur p5Visuel
- Cacher fonctions p5Visuel
- La tortue pas à pas revisitée
- p5Visuel en 2 versions
- Outils p5Visuel débutants
- Formations p5Visuel UQAM
Nouvelles de 2019
- Serveur local pour p5Visuel
- Ateliers GRMS et AMQ
- Blocs Cadres pour p5Visuel
- Ajout de blocs à p5Visuel
- SAGE + p5Visuel
- algoGGB + p5Visuel (suite)
- Les listes dans p5Visuel
- Partage p5Visuel-GeoGebra
- TEMA 2019 - Problèmes
- algoGGB interactif
- Surprenant nombre π
- p5Visuel en version 1.1
- p5Visuel au MAT3812
- Participation au PCD (Mtl)
- Modèles pour p5Visuel