(Ce qui suit est basé sur les quatre derniers articles de
Jacques Lefebvre)
Isaac Newton
(1642-1727)
Les trois approches de Newton :
- Les méthodes des infinitésimaux (écrit 1669,
publié en 1711)
Si y = xn, alors y' = ((x+o)n
- xn)/o = (xn + nxn-1o +
(n(n-1)/2!) xn-2o2 + … - xn)/o
= nxn-1(o/o) + (n(n-1)/2!) xn-2o + …
= nxn-1
- La méthode des fluxions (Méthode
des fluxions et des suites infinies, écrit 1671, publié
????, en anglais, 1740 en français)
Si y = xn, alors y'(on
devrait écrire y avec un point par dessus) est
la fluxion de la fluente y, et x' est la fluxion de la
fluente x. Les accroissements respectifs de y et x sont x'o
et y'o. Calcul de y'.
y + y'o = (x + x'o)n = xn
+ nxn-1x'o + (n(n-1)/2!) xn-2(x'o)2
+ … .
Donc y' = nxn-1x' + (n(n-1)/2!) xn-2x'2o
+ … = nxn-1x' .
- La méthode des première et dernières raisons.
(Principia Mathematica, 1687)
La dérivée est (y(x+h) - y(x))) / h, lorsque
h devient aussi petit que l'on veut.
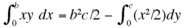
Le
théorème fondamental du calcul
Si z est la surface sous la courbe à B, DB : BE
:: z' : x'
où BE = 1, donc z' = x' DB.
Gottfried Wilhelm Leibniz
(1646-1716)
Trois idées qui l'ont inspirées.
- Mettre en place un véritable calcul
La recherche d'une notation fonctionnelle qui
dirige la pensée.

signifie

Voir aussi le
cours 8 : l'origine de la
notation pour la dérivée seconde.
- La technique des suites
Basé sur l'égalité a1 - an
= (a1 - a2) + (a2 - a3) + …
+ (an-1 - an)
Il en tire que la
somme infinie des nombres de la forme an =
1/n(n+1) est 1. (Exercice : à montrer)
Il en tire aussi que la somme des différences
égale la différence des valeurs extrêmes de la fonctions,
soit

- La généralisation du triangle caractéristique
Dans
la figure, on a dy/v = dx/y, ou vdx = ydy. Ce qui permet
de trouver l'aire formée par les sous-normales (v).
Publications :
1684 Le calcul différentiel, mais avec des
définitions boiteuses.
Tangente : une droite
sécantes dont les points d'intersectionà la courbes sont
très (indéfiniment ?) proches.
1686 Le calcul intégral
Les réponses aux objections
- 1689 : dx est un grain de sable par rapport
la Terre
- 1694 : Multiplier un infiniment infini par
dx donnera x (un avant goût des infinis de divers ordre de
Canot)
- vers 1700 : Penser en termes d'indéfiniment
grands, donc d'infini potentiel.
Mais il y a des incongruités
- Ce qui est vrai pour P(x) lorsque x
s'approche d'une valeur xo, l'est aussi à la valeur
xo
- La somme 1 - 1 + 1 - 1 + 1 - … = 1/2 (la
moyenne entre la somme d'un nombre pair de 1 et celle d'un
nombre impair de 1)
Marquis de l'Hospital : Analyse des
infiniment petits, Pour l'intelligence des lignes courbes
(1696)
- Première publication structurée du calcul
différentiel de Leibniz
- Définitions plus ou moins claires des éléments
de base : quantités variables, quantités constantes,
différences, différentielles
- Deux demandes
- x + dx = x
- Une courbe « peut être considérée comme
l'assemblage d'une infinité de lignes droites, chacune
infiniment petite (…) ».
Les
règles de manipulation des différences
- d(xy) = (x+dx)(y+dy) - xy = xy + xdy + ydx
+ dxdy -xy = xdy + ydx + dxdy = xdy + ydx.
- On en tire d(xn) = nxn-1,
en posant y = x dans la règle précédente et en augmentant
le nombre de variable.
- La règle de l'Hospital (article 163)
Autour du point où f(x) et g(x)
s'annulent en même temps, le rapport f(x)/g(x) est le
même que le rapport df/dg (en regardant le tout en
valeur absolue)
Le XVIIIe siècle - le siècle du
formalisme, puis celui des remises en question
Le siècle d'Euler
Leonard Euler (1707-1783)
- Introduction in analysin infinitorum
(1748), Institutiones calculi differentialis (1755),
Institutiones calculi integralis (1768-1770).
- Le calcul formel
Premier exemple
Puisque a0 = 1, Euler pose ai
= 1 + ki, où i est infiniment petit. Pour tout nombre x
fini, il existe un infiniment grand tel que N = x/i, d'où
ax = (1 + (kx/N))N.
En utilisant le développement du binôme,
et considérant que 1 = (N-1)/N = (N-2)/N = … , Euler
obtient
ax = 1 + kx/1! +
k2x2/2! + … ,
et en désignant a par e, le
nombre népérien, ou d'Euler, avec k = 1, on obtient
ex
= 1 + x/1! + x2/2! + … , et donc e = 1 + 1/1! +
1/2! + … .
Second exemple
1/(1+1)2 = 1/4,
entraîne que 1 - 2 + 3 - 4 + 5 = 1/4, car 1/(1+1)2
= 1 - 2x + 3x2 - 4x3 + …
Les réactions au manque de fondement du calcul
Berkeley (1685-1753)
- Obscurité des concepts
- Non-validité des méthodes
Colin Maclaurin
Jean le Rond d'Alembert (1717-1783)
- Vers la limite comme concept de base, mais
trop intuitive
Les mathématiciens autour de l'École polytechnique
Lagrange
La série comme fondement du
calcul.
Lazare Carnot
Sylvestre François Lacroix
Le XIXe siècle - vers la rigueur
Louis Augustin Cauchy (1789-1857)
La limite comme fondement du calcul.
Définition rigoureuse de limite.
La construction des réels, puis
l'axiomatisation des entiers.
L'infini (Cantor)
|